プランテルEXは効かない?効果なし?使用した人の口コミを検証してみた

こんにちは、育毛剤研究家のハゲっぱちです。自己紹介は育毛剤男性ランキングに書いたので、ここでは省略。
今回は、今自分も愛用中のプランテルEXって育毛剤について書きます。プランテルexは効かないとか効果なしとかって噂もあるけど、もともとはチャップアップって育毛剤を使ってた自分がこっちに乗り換えた理由ってのも書くんで、薄毛に悩む人たちは是非参考にしてみてもらいたいなと。
- 薬用プランテルEXは効かない?効果に関する口コミは?
- 薬用プランテルEXが効かない、効果がない人ってどんな人?
- プランテルEXのすごい成分(リデンシルとペブプロミンα)とその効果について
- プランテルEXに副作用の心配はあるのか?
- プランテルEXを楽天・Amazonよりも最安値で購入するには?
- プランテルEXを公式サイトから買う3つのメリット(※3つ目大事)
- プランテルEXはドラッグストアや薬局で市販されているのか!?
- プランテルEXの使い方(使用方法)は?
- プランテルEXとチャップアップを比較してみた結果
- プランテルとプランテルEXの違いは?
- プランテルexの解約は簡単?定期縛りはないの?
- 正直に明かすプランテルEXのデメリット
- プランテルEXに関するQ&A
薬用プランテルEXは効かない?効果に関する口コミは?
いきなりダラダラ商品解説しても仕方ないんで、まずは世の中の人が薬用プランテルEXについてどう感じているのか?その口コミや評価について見てもらおうと思う。
先に言っとくと、育毛剤の中で「100%ユーザーが満足!」みたいな商品はこの世に存在しない。それはプランテルEXだって同じ。だから良い口コミ評価もあれば、悪い口コミ評価もある。というわけで、ここではどちらの評価の口コミも掲載しておく。
プランテルEXの良い口コミ

旧プランテルを使ってたので、新しいプランテルEXが発売されると聞いて乗り換えました。旧プランテルより圧倒的に進化してて、なんか話題の成分も配合ってことですごく期待してます。宣伝ばかり頑張ってる他の会社の育毛剤より信頼できるので期待してます!(40代男性)

おでこが広くなって気がして使い始めました。育毛剤を使うのは今回が初めてですが、スプレー式で使いやすいですし、使い方も丁寧に書かれているので購入してよかったです。まだ使い始めて3ヶ月くらいですが、産毛っぽい髪の毛だったところが少し太くなってきたかも?もう少し継続して様子を見てみます。(30代男性)

他のリデンシル配合育毛剤を使っていましたが、同じ濃度入っててこちらの方が安価なのと、あとは期待できるペブプロミンαって成分にも惹かれて切り替えました。概ね経過は良好だと思います。明らかに頭皮の調子は良くなった感じがします。切り替えて正解でした!(30代男性)
プランテルEXの悪い口コミ

売れ筋の育毛剤ってことで使って丸1ヶ月経過しましたが全く変化なしです。これで育毛剤は3種類目ですが、もうあきらめないとダメなのかなと途方に暮れています。(40代男性)

知人の紹介で購入して試していますがあまり効果を実感できていません。まだ使い初めて間もないので仕方がないかも知れませんが、値段の割に容量も少ないし、もしかして騙された?と少し疑心暗鬼になっています。(30代男性)

はっきり言って効果ない。個人差があるのはわかるけど、自分には合わなかった。ただ使いやすいし、べタベタもしないし、効果があるなら使い続けたいと思ってた。もう少し安かったらよかったのにな。(40代男性)
いくつかの口コミをピックアップして見てもらったけど、見ての通りプランテルEXの口コミは賛否両論。まぁ育毛剤ってこういうもんだから。
でもこれまで3種類も育毛剤使ってるのに、1ヶ月であきらめちゃうとか、本当にもったいない。プランテルEXってこれまでにない新成分配合してたりもするんで、他の育毛剤でダメだった人ほど、根気よく続けてみて欲しいんだけどね。
あとは「値段の割に量が少ない」って意見もあったけど、ぶっちゃけ他の育毛剤と比べると、ほんとに少ない。俺が以前使ってたチャップアップ(120ml)と横に並べてみると、これだけ違う。

知っておいて欲しんだけど、量が多い=成分濃度が薄いってことだから。だって、残りはタダの水だからね。
つまり、たくさん入ってる感を出してる育毛剤はたっぷり使えてお得そうなイメージはあるけど、それって全然お得じゃないんだよって話。これ一般的な化粧品(化粧水)でもよくある錯覚ね。
あと、効果ないって声もあったけど、ここは正直難しいところ。というのも、本当に効果がない人もいるし、使い方が悪くて効果を出せない人もいるから。これちょっと細かく解説しておこうか。
薬用プランテルEXが効かない、効果がない人ってどんな人?
さっき言ったように、薬用プランテルEXを使っても効果がある人とない人がいる。ただ効果がない場合も、本当に効かないケースもあれば、使い方がマズイってケースもあるわけね。ここはきちんと整理しておいた方がいいよ。まず、
- AGAが進行してしまっている人
- 甲状腺機能の低下による薄毛の人
- 円形脱毛症
に当てはまる場合は、プランテルEXでは対処のしようがない。ていうかどんな育毛剤を使ってもおそらく効果はない。
AGAが進行してしまっている人には効果なし
AGAが進行してしまって、産毛もほとんどないツルツル状態になってる人は、薬用プランテルEXを含む市販の育毛剤じゃ効果はないかも知れない。むしろそこまで進行しているとAGAクリニックでの治療も間に合わないかも知れない。急がないとちょっとヤバイかな・・・って思うなら、早めに専門医に相談した方がいいよ。
甲状腺機能の低下や薬剤による薄毛の人には効果なし
甲状腺機能が低下して薄毛になってる人も、育毛剤じゃ対処できない。他にもいつも飲んでる薬の影響で抜け毛が増えることもある(薬剤性脱毛症)。代表的なのは抗ガン剤とかだったりするけど、他にも高血圧の薬とか、うつ病の薬とか、痛風の薬なんかの副作用でも脱毛が起こることがある。思い当たる場合は担当医に相談してみて欲しい。
円形脱毛症の人には効果なし
円形脱毛症の場合はアトピー体質だったり、ストレスを抱えたりすることで起こりやすい脱毛症。これもプランテルEXより原因に合わせて治療した方がいいね。
これら3パターンの場合は、それぞれの対処法を心がけて欲しい。ただ、これらに当てはまらないケースなのに効果が出ないというのは、使い方に問題があるってことになる。正しい使い方に関しては、
プランテルEXの使い方(使用方法)は?にまとめてみたので、そっちを参考にしてほしい。
プランテルEXのすごい成分(リデンシルとペブプロミンα)とその効果について
さっき、プランテルEXを使っても効果がない人の話をしたけど、反対に正しく使えば効果が実感できるのがこの商品。その理由はもちろん「すごい成分」にあるんだよね。プランテルEXに配合されている成分は、全部で44種類。そのうちで特に注目されているのが、次世代ヘアケア成分と呼ばれる「リデンシル」、そしてプランテルEX独自の配合成分「ペブプロミンα」という2つの成分。
これってどうすごいの?ってよく聞かれるんで、それぞれ解説しておく。まずは世界も認めたリデンシルの話から。
リデンシルは世界に認められた育毛成分

ざっくり言うと、『髪を成長させる』成分。
リデンシルはスイスの「induchem(インジュケム)社」が開発し、2014年の世界最大級の原料展示会である「in-cosmetics(インコスメティック)」(※原料の世界でのノーベル賞)でも表彰された成分。その頃から日本の育毛剤にも配合されるようになってきた。
ちなみにこの時受賞したのは「銀賞」(金じゃないのが残念)。ただ実は最近育毛剤に多く使われている話題の成分「キャピシル」という成分が、同じ会で「銅賞」だったってことと比較すると、このリデンシルの期待度は一気に高まるよな。
ミノキシジルとリデンシルの比較
このリデンシルはミノキシジルよりも育毛効果があったっている臨床データもある。
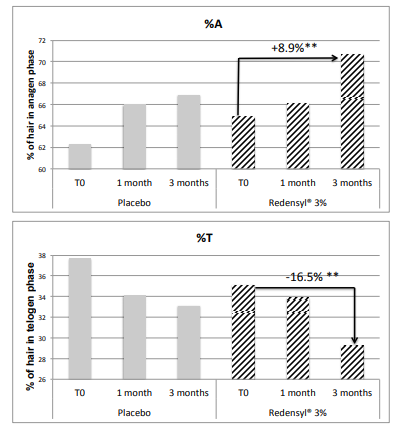
脱毛症の被験者に対して、ミノキシジルとリデンシルを使った場合の7日目と10日目の髪の成長度合いを比較したもの。結果、リデンシルがミノキシジルの2倍以上の毛包育成効果があった。
成長期の髪が増え、休止期の髪が減った
また乱れたヘアサイクルを正常化させる効果も報告されている。
リデンシルを使用した場合、成長期や休止期の髪の割合がどうなるかの実験結果。使用1ヶ月では大きな変化はないけど、3ヶ月経つと、リデンシルを使用している人は成長期の髪が一気に増え、休止期の髪が一気に減った。
リデンシル育毛剤の効果を広めた動画
そして、このリデンシル入りの育毛剤で効果が出たって、動画出してるのが、youtuberのぷろたん↓

彼が使ってるのは「REDEN(リデン)」って育毛剤なんだけど、このREDENを使ってハゲを克服したらしい。
ちなみに彼の使ったREDENはリデンシル濃度が3%なのに対して、プランテルEXは5%の高濃度。3%で結果が出てるなら、5%入りのプランテルEXは更に期待大って想像できるよね。
(※ぷろたんの動画を確認したい人はこちらから)
プランテルEXと比較されるリデンシル5%入り育毛剤
リデンシルを5%配合してるのはこのプランテルEXと、もう一つ「Deeper3D」という商品だけ。ちなみにこれが配合の認められている最大量なのでこれ以上の割合のリデンシルを配合育毛剤は存在しない。
ちなみにリデンシル5%配合でちゃんとした「医薬部外品」扱いなのはプランテルEXだけ。Deeper3Dは化粧品扱い。
一応、先ほど出てきた「リデン」を含めたリデンシル入り育毛剤3つを簡単に比較してみると、
| 商品名 | プランテルEX | Deeper 3D | REDEN(リデン) | 
|---|---|---|---|
|  |  |  | |
| 分類 | 医薬部外品 | 化粧品 | 医薬部外品 | 
| リデンシル濃度 | 5% | 5% | 3% | 
| 単品購入 | ¥13,800 | ¥14,850 | ¥12,800 | 
| 定期コース初回 | ¥9,700 | ¥14,100 | ¥9,800 | 
| 定期コース2回目以降 | ¥9,700 | ¥13,360 | ¥9,800 | 
| 6ヵ月間使用 | ¥58,200 | ¥74,970 | ¥56,100 | 
※価格は全て税込
※REDEN(リデン)は4ヶ月目から¥8,900に。
って感じで、半年使えばリデンシル3%のリデンが少しだけ安くなるけど、でもこれくらいの差だったら高濃度5%のプランテルEXがいいって感じだよな。
リデンシルの解説はこれくらいにして、続けて特許出願中のペブプロミンαについても解説しておく。
ペブプロミンαは特許申請中の抜け毛抑制成分

ざっくり言うと、『抜け毛を防止する』成分。
へブプロミンαはこのプランテルEXにしか入っていない独自の成分。だからこいつの恩恵にあずかりたいと思うならプランテルEXを使うしかないってことね。じゃあそれがどれほどの効果を発揮するんだ?って話なんだけど、このペブプロミンαは脱毛因子とも呼ばれる「5αリダクターゼ」を阻害してくれる成分ってことになってる。
この5αリダクターゼの生成を阻害してくれることによって、ヘアサイクルの脱毛期が短くなるんだよね。つまり毛が抜けにくくなるってこと。さっきのリデンシルは「増やす」にアプローチしてたけど、このペブプロミンαは「減らさない」にアプロ―チしてるってイメージかな。
ちなみにこの成分は現在特許出願中とのこと。効果もなにもない適当な成分を特許申請するってことは考えにくいので、これについては期待してOKってことでしょ。
『虚偽表示』は3年以下の懲役または300万円以下の罰金という重い刑罰
という特許法もあるから、嘘は書けないはず。だから本当に出願されているってこと。
以上、リデンシルとペブプロミンαについて解説してきたけど、プランテルEXには、育毛剤の基本となる有効成分もきちんと含まれてる。それがこのあと紹介する3つね。
発毛促進・有効成分
プランテルEXには、他の医薬部外品の育毛剤にも多く含まれている、
- センブリエキス
- グリチルリチン酸ジカリウム
- ジフェンヒドラミン塩酸塩
もきんと配合。頭皮の血流改善や炎症を抑える働きで、育毛環境をしっかり整える。その上でさっきの2つの成分だから、他の育毛剤よりは期待値はグンと上がるよね。
ときどきこういう育毛剤の成分と効果を全否定する記事を見るんだけど、こういう成分って別に適当に配合されてるわけじゃないからね。研究の結果で厚生労働省にも有効成分って認められているわけだし。だからプランテルEXも正々堂々と育毛剤って名乗れる商品なわけ。
そしてプランテルEXにはまだまだ他にもいろいろ入ってるよ。
23種類の植物由来成分
プランテルEXには、以下のような植物由来成分が23種類含まれています。有効成分ほどの効果は期待できないけど、そういう作用をすることで知られている成分たち。これだけ入ってたら、何かは効くんじゃない?と期待してしまうよね。
一応全成分の名前と効果を整理しておくと、
| フケ・かゆみ抑制 | サイクル活性化 | 原因因子に対抗 | 脱毛・フケ抑制 | ハリを高める | 
| シナノキエキス | クロレラエキス | 冬虫夏草エキス | ローズマリーエキス | カンゾウ葉エキス | 
| ヒキオコシエキス | ニンニクエキス | チョウジエキス | ||
| オウゴンエキス | 松エキス | めぐり促進 | 脂に対抗 | |
| ローマカミツレキス | 根本活性化 | 人参エキス | 大豆エキス | |
| アルニカエキス | 潤い実感 | オランダカラシエキス | ||
| オドリコソウエキス | 桑エキス | 頭皮代謝活性化 | コラーゲン促進 | |
| ゴボウエキス | サクラ葉抽出物 | 赤み・ヒリヒリ鎮静 | 茶エキス | アシタバエキス | 
| 海藻エキス | セイヨウキズタエキス | 
見てのとおりいろんな種類の成分は入っているけど、中でも特に「フケ・かゆみ抑制」の成分が一番たっぷり入ってる。だから薄毛や抜け毛とおなじく、なんとなくフケが増えた気がするとか、頭皮がかゆいとかって思う人には特におすすめって感じかな。頭皮が乾燥しがちの人にもいいね。
16種類のアミノ酸
植物由来成分以外にもアミノ酸が16種類も配合されてる。これも一応働き別に整理しておくと、
| めぐり促進 | 活性化 | 増殖促進 | 天然保湿因子の成分 | 
| グリシン | トレオニン | プロリン | L−フェニルアラニン | 
| アルギニン | L−ヒスチジン塩酸塩 | ||
| ケラチンの重要構成物質 | 黒く丈夫な育毛を促進 | アラニン | |
| 潤い実感 | L−グルタミン酸 | チロシン | |
| L−ロイシン | セリン | 薄さ・脱落に実感 | |
| L−バリン | シスチン | 不足するとヒリヒリの要因 | リジン塩酸塩 | 
| L−イソロイシン | 
このようになってるね。この中では「ケラチンの重要構成物質」ってが目立つけど、このケラチンというのは髪の毛を作るたんぱく質のこと。そのケラチンを作るための成分が含まれているってことになる。これが、髪のツヤやハリ、コシ、強さなんかとも関係してきて、髪を元気にしてくれるわけ。
最近はアミノ酸入りの育毛剤も増えたけど、こういう役割があるんだね。
プランテルEXに副作用の心配はあるのか?
効果がありそうな成分たっぷりのプランテルEX。ただそこで心配になるのが「副作用はないの?」ってこと。結論から言うと、プランテルEXを使うことによる副作用の心配はなし。とはいえ、完全に大丈夫ってことではなくて、例えば肌の弱い人だったら、中に入ってる少量のアルコールの影響で少し頭皮が赤くなってしまったりすることはある。
ただ副作用的な反応といってもその程度。その他頭皮トラブルを誘発する可能性のある、「パラベン」「合成香料」「合成着色料」「鉱物油」「シリコーン」「紫外線吸収剤」など6つの成分は無添加なので、より安心できます。
基本的に副作用が心配されるのは、医薬部外品の育毛剤ではなく、医薬品の発毛剤の方。医薬品に該当する「リアップ5X」などに含まれるミノキシジルは、複数の副作用が報告されている。
脱毛に対抗する薬なので、最も一般的な副作用は頭皮の痒みである。ミノキシジルやロゲインなどの外用薬に含まれる基剤成分・プロピレングリコールに対するアレルギー反応がしばしば見られる。多量のミノキシジルは低血圧の原因となる可能性がある。日焼けした頭皮に使用する場合に見られがちであるが、ワセリンやトレチノインと併用すると薬剤の過剰な吸収が起こりえることが知られている。出典: フリー百科事典『ウィキペディア(Wikipedia)』
プランテルEXに関してはこれまでのところ、上記のような副作用の報告もされておらず、心配はしなくてよいと言えるかな。ただ、万が一頭皮に異常があると感じた場合には、すぐに使用を中止して、皮膚科専門医に相談するのが大事。
プランテルEXを楽天・Amazonよりも最安値で購入するには?
プランテルEXは楽天やAmazonで売っているのか?そして最安値で購入できるのはどこなのか?
楽天
楽天で検索してみたところ、関係ない商品ばかりが表示されるので、どうやら取り扱いがない模様。今のEXにリニューアルされる前の旧プランテルは楽天でも扱われていたので、そのうち登場するかもな。
Amazon
続けてプランテルEXをAmazonで探してみたところ、見つかったのはなぜか意味不明な「ボディスポンジ」とのセット販売されているものだけ。なんでボディスポンジ?と聞きたくなるのだけど、とにかくプランテルEX単体での販売はされていない模様。
まぁ基本的にAmazonで売られている育毛剤は転売目的の奴が適当に売りさばいているだけなので、ちょっと危険な香りがするな。だから、こういうのは買わない方が身のため。
メルカリ
ついでなんで、メルカリで売られているかチェックしてみたところ・・・
うわ、結構出品されてるな・・・。しかも定価よりやや高い。まぁこっちも転売目当ての奴らばかりだし、わざわざここで買って、そいつらに儲けさせる意味はないよね。
という感じで、楽天、Amazonには扱っているところはなさそう。そしてメルカリは怪しい。とまあ、こういうところを考えても、やっぱり買うならプランテルEXの販売会社「ユーピーエス」が公開している公式販売サイトから買うのがベストでしょう。
プランテルEXを公式サイトから買う3つのメリット(※3つ目大事)
公式サイトからの購入で、
- 割引き後の「最安値」価格で購入できる
- 全額返金保証付きで購入できる
- 育毛に役立つ冊子がついてくる
というメリットがある。
割引き後の「最安値」価格で購入できる
割引き後の「最安値」価格で購入できるというのが、公式販売ページから購入する1つ目のメリット。
Amazonは謎にスポンジとの抱き合わせだし、メルカリは少し高い設定だし、公式販売サイトからの購入が結果的に最安値。
一番人気の3本セットだと、1本あたりの価格は最も安くなる。通常価格と比較すると、16,800引きという大幅過ぎる割引してるね。
育毛剤って継続が命だから、やっぱり少しでもコストは安く抑えたいはず。だとしたらこの3本セットが最もお得。
きちんと続ける気があるなら、迷わず3本セットでいいでしょ。お財布的に余裕がないなら、毎月1本届く自動お届けコースかな。それでも普通に買うよりお得だからね。
ちなみに「定期(自動お届け)コースに解約の縛りはあるの?」って思うかもしれないけど、何回縛りとかの規定は特になし。だから、1回注文してそれで終えることもできる。
それ考えると通常の単品購入にして\13,800+送料+返金保証対象外で購入する意味は全くないよな。
全額返金保証付きで購入できる

全額返金保証付きで購入できるというのも、公式販売ページから購入するメリットの一つ。販売すらされてない楽天は関係ないとしても、Amazonやメルカリ、あとヤフオクとかで購入してしまうと、万が一頭皮に合わなかった場合の全額返金保証の対象から外れてしまう。
他で買った方が圧倒的にコスパがいいなら話は別だけど、大して違いがないうえに、さらに返金保証もつかないとなると、ますます公式以外で買うメリットはないよね。(むしろデメリットしかない気がする。)
育毛に役立つ冊子がついてくる
育毛に役立つ冊子がついてくるってのも公式ページから購入するメリット。購入するタイミングで中身は変わるかもしれないけど、自分が手にしたときは

・プランテルEX全般に関する解説書
・プランテルEXの正しい使い方
・プランテル使用者の感想
・毛活スタイル
・須藤元気の育毛読本
こんな感じだった。
こういう付属品的な冊子って、結構な確率で軽視されたり、読まずに捨てられたりするけど、実はすごく大事なことが書かれていることもあるんでバカにしちゃいけないよね。
使い方冊子は必ず読むこと
今回の同封物でいうと「プランテルEXの正しい使い方」は絶対に読まなきゃダメ。「効果なし」って言ってる人たちの大半は、そもそも製品を正しく使えてないから。正しい使い方で、しっかり継続してから文句を言えって話。
「毎回シャンプー後すぐに1プッシュを1ヶ月繰り返しましたが効果が出ませんでした。」
とかって書き込み見たら、

お前、使い方読んで使ってないじゃん?
って言いたくなる。まぁこれは極端な例だけど、こういうケースってほんとに多いから、しっかり付属冊子を読んで正しく使って欲しい。
毛活スタイルという会報誌は超おすすめ
あとハゲっぱちがおすすめしたいのが『毛活スタイル』って会報誌。これがすごく参考になるんだよね。今回同封されてたvol.1は「M字をカバーするヘアスタイル」ってテーマで、おでこの生え際が気になってきた人向けのおすすめヘアスタイルが紹介されてる。

いくら効果のある育毛剤を使っても、使い始めてから数か月はなかなか目に見える効果って出てこない。その間は少しでも「見え方」を工夫する必要があるわけで、そんな工夫の仕方をプロがアドバイスしてくれてるってわけ。
実際に髪型でどれくらいM字がカバーできるのかっていうと、こんな感じ↓

※実際の冊子にはモザイクはかかっていません。

思ったより、いい感じにごまかせてる・・・
そんなわけで、商品が届いたら、ぜったいこれらの冊子も捨てずに、穴が開くほど読んでみて欲しいと思う。
プランテルEXはドラッグストアや薬局で市販されているのか!?
プランテルEXはドラッグストアや薬局で市販されているのか!?売ってるなら近くで商品を見て買いたい!などと思っている人もいるかも。
さっき大手通販サイトのAmazonや楽天では取り扱いがない(Amazonは抱き合わせ販売)って伝えたけど、実はドラッグストアや薬局でも市販はされてない。
だから今まともにプランテルEXが買えるのは公式サイトだけ。
無理やりオークション系のサイトで購入したっていいことなんて一つもないんだから、普通に公式販売サイトから手に入れるのがいいってことだよね。
さっきも言ったけど、一番お得に買えるのは3本セット。仮に3本買ってても、頭皮に合わないってわかったら全額返金してくれるからそこは安心。
手持ちが怪しいならとりあえず1本からスタートかな。でも1本買いの場合でも、普通の単品購入だと送料もかかるし割高。だから回数縛りのない「定期(自動お届け)コース」にしておくのがおすすめ!
プランテルEXの使い方(使用方法)は?
プランテルEXの使い方についても解説しておくよ。最初の方にも書いたけど、効果が出ないって人の8割くらいは、使い方が間違ってるか、途中でさっさと諦めてしまってる人。ほんとにもったいない。だから、これから試そうと思っている人も、あらかじめプランテルEXの正しい使い方のポイントってのを知っておいて欲しい。
シャンプー後にきちんと髪を乾かしてから使用する
プランテルEXの使い方でまず大事なのは、シャンプー後にきちんと髪を乾かしてから使用するということ。よく乾かさない状態、つまり濡れた状態でそのまま使用するのはNGね。ここを間違えている人が圧倒的に多い気がする。
髪を乾かした後にプランテルEXを使うとまた髪が濡れちゃうから、それを避けたいんだろうね。風呂上がりにさっとタオルで水気を取って、そのまま使う人が多い。そうじゃなくて、ある程度乾いた状態で使うってことがポイント。
髪や頭皮のことを考えると自然乾燥が理想だけど、軽くドライヤーを使うのも構わない。とにかく一度髪を乾かすってことが大事。
1回6プッシュを目安に使用する
続いてはプランテルEXを使う分量(プッシュ回数や頻度)の話。基本的には特に薄毛が気になる部分に1回あたり6プッシュが目安。なるべく頭皮に直接かかるよう、少し髪を分ける感じで。髪にかかっちゃうともったいないので。そしてこれを朝と晩の2回を目安に。
この回数も結構適当な人がいるんだけど、風邪薬なら1日何回とか、1回何錠とかの決まりを守るでしょ?なのに育毛剤だとどうして適当にやっちゃうの?
確かに医薬品ではないので、そこまで厳密なものではないけど、やはり適量というのは存在する。多く使いすぎても副作用の心配はないけど、使用量や使用頻度が少ないと、やはり効果は薄くなる。だからここもしっかり守ってほしい。
指の腹でもみ込むように頭皮マッサージを
頭皮につけたら、そのあとすぐにマッサージしてほしい。指の腹で、頭皮全体をほぐすような感じが理想かな。固くなった頭皮を柔らかくするイメージ。あんまりゴリゴリとこすりつけるってことはしない方がいい。
プランテルEXの使い方はここまでが基本ルール。これをしっかり守って使用してほしい。もし使い終わって髪が濡れてるとか、湿ってるのが気になる人は、その部分だけ軽くドライヤーで乾かすのはOK。頭皮に熱風を当てすぎないようにだけ注意ね。
ちなみに商品注文と一緒に届く冊子(※上の写真)の中には、
特に夜シャンプーをしてから、就寝前までのご使用が一番実感しやすいため、忘れずお使いください
ってことも書かれてあるから、忘れないようにね。
プランテルEXとチャップアップを比較してみた結果
ここまでプランテルEXの話をしてきたけど、こいつとよく比較されるのがチャップアップという育毛剤。プランテルEXを使い始めるまでは実際に自分も愛用してた商品なんで、育毛剤としての品質は保証する。
じゃあ、このプランテルEXとチャップアップを比べて何が違うのか?そしてなんで俺がチャップアップからプランテルEXに乗り換えたのかって話をしておくね。
まずは成分や価格などの基本情報で比較してみる。
| 商品名 | プランテルEX | チャップアップ | 
|---|---|---|
| 商品写真 |  |  | 
| 商品区分 | 医薬部外品 | 医薬部外品 | 
| 有効成分 | センブリエキス、グリチルリチン酸ジカリウム、塩酸ジフェンヒドラミン | センブリエキス、グリチルリチン酸ジカリウム、塩酸ジフェンヒドラミン | 
| +発毛促進成分 | リデンシル | なし | 
| +脱毛抑制成分 | ペブプロミンα | なし | 
| +頭皮環境ケア成分 | 天然成分23種類+アミノ酸16種類 | 天然成分55種類+アミノ酸15種類 | 
| 臨床データ | あり | なし | 
| ニオイ | 無香料 | 無香料 | 
| 容器タイプ | スプレー式 | スプレー式 | 
| 内容量 | 50ml | 120ml | 
| 1回の使用量 | 6プッシュ | 30プッシュ | 
| 単品価格(税込) | ¥13,800 | ¥7,400 | 
| 定期コース(税込) | ¥9,700 | ¥7,400 | 
| 定期コース回数縛り | なし | なし | 
| 返金保証 | 30日間 | 永久返金保証(※) | 
| 購入後サポート | なし | 毛髪診断士による電話・メールサポート | 
| 販売会社(名称) | 株式会社ユーピーエス | 株式会社ソーシャルテック | 
| 販売会社(住所・連絡先) | 〒810-0041 | 〒160-0023 | 
プランテルEXには臨床データ付きの発毛促進成分が入っている
プランテルEXとチャップアップを比較したときに、やはりまず目がいくのが育毛効果に直結する配合成分のこと。厚生労働省から「有効成分」と認められている基本成分の「センブリエキス」「グリチルリチン酸ジカリウム」「塩酸ジフェンヒドラミン」はどちらも共通。異なるのはそれ以外の成分。
プランテEXの方は、上記に加えて、発毛促進成分の「リデンシル」と脱毛抑制成分の「ペブプロミンα」が配合されている。このうちリデンシルには上で紹介したような臨床データもある。
だから単純に「効果」だけにフォーカスするならプランテルEXの方が勝るってことは間違いない。じゃないと、追加でそれらの成分が入ってる意味ないしね。
1回あたりの使用量が少なく液だれしない
実はプランテルEXがお気に入りな個人的理由の一つが、1回当たりの使用量が少なくて済むから液だれしにくいってこと。
それまで使ってたチャップアップは、1回で結構な回数プッシュするんで、せっかく乾かした髪もべたべたになるし、なとかつプッシュしてすぐにマッサージしないと液だれもしています。これが結構ストレスだったりもしたんだよね。
一方でプランテルEXの方が量が少ないから、髪もそれほどベタつくことがないし、液だれもしにくいから、落ち着いてマッサージできるってわけ。これ使ったことのない人には実感沸きにくいかも知れないけど、使ってみたらほんとわかるから。
価格的にはチャップアップの方が安い
プランテルEXはすごい成分が追加配合されているぶん、チャップアップより少し割高。育毛剤って長く続けていくのが基本だから、本来は少しでも安い方がいいよね。だからいま毎日が結構カツカツって人は、とりあえずしばらくチャップアップでケアをしてみてもいいかも知れない。
ただ、早く効果が出れば、それだけ早く切り上げられるってことを考えると、少し負担はかかるけど効果の高い方を最初から選んでおくのも賢いセレクト。まぁここら辺は最終的にお財布と相談してくれたらいいかと思う。迷くくらいだったら、思い切ってプランテルEXだけどな。
返金保証は差がない
プランテルEXの返金保証は購入から30日間なのに対して、チャップアップの方は購入してから永久返金保証になってる。だったら永久返金保証の方がよさそう・・・ってなりがちなんだけど、ただ1点注意しないといけないのは、期間は「永久」だけど、返金してくれるのは「1本分」だけってところ。
だから、チャップアップを半年使って効果が出ませんでした。だから半年分全額返金してくださいよ、って話は通じないってこと。これ、けっこう勘違いしている人多いみたいだね。(誤認を誘う書き方の問題の気がするが。)
だから購入から30日間で合わないなら返金しますよと言ってるプランテルEXの返金保証と、中身としてはほとんど変わらない。そもそもだけど、
「返金してくれるなら、試しに買ってみるか?」
って気軽な気持ちではじめるくらいなら、最初から買わない方がいい。育毛って本気でケアを続けないと効果なんて出ないからね。これはどちらの育毛剤を選ぶ場合でも同じだな。
毛髪診断士による購入後のサポートがついてる
チャップアップの特徴としては、購入してからも毛髪診断士によるサポートがついてるってところがある。
育毛のことで何か困ったり、育毛剤の使い方で疑問に感じることがあったら相談できる窓口が存在しているってこと。初めて育毛剤を使う人からすると、こういうのは心強いかな。電話もあるし、メールでも受けつけてくれる。
プランテルEXとチャップアップはどちらを選べばいい?
ここまでのところを踏まえて、結局のところ「プランテルEXとチャップアップはどちらを選べばいい?」という疑問に答えるならば、
| ケース@ | ケースA | 
|---|---|
| ・とにかく育毛効果を優先させたい! ・液だれのストレスから解放されたい! ↓↓↓ | ・少しでも安く育毛剤を使い始めたい! ・毛髪診断士のサポートを受けてみたい! ↓↓↓ | 
| プランテルEXがおすすめ! 
 | チャップアップがおすすめ! 
 | 
という感じになるかな?ぜひ自分のこだわりにあった方をセレクトしてほしい。
プランテルとプランテルEXの違いは?
薬用プランテルと、リニューアルした薬用プランテルEXの違いがどこにあるのか?ってのも良く聞かれるんでここでまとめておくね。
ちなみに旧プランテルも販売は継続中。コンセプトが異なる商品なので、それぞれの特徴を見て、どちらにするか判断してほしい。
| 商品名 | プランテルEX | (旧)プランテル | 
|---|---|---|
| 商品写真 | 
 | 
 | 
| 商品区分 | 医薬部外品 | 医薬部外品 | 
| 有効成分 | センブリエキス、グリチルリチン酸ジカリウム、塩酸ジフェンヒドラミン | センブリエキス、グリチルリチン酸ジカリウム、セファラチン | 
| +発毛促進成分 | リデンシル | なし | 
| +脱毛抑制成分 | ペブプロミンα | ヒオウギエキス | 
| +頭皮環境ケア成分 | 天然成分23種類+アミノ酸16種類 | 天然成分7種類 | 
| 臨床データ | あり | なし | 
| ニオイ | 無香料 | 無香料 | 
| 容器タイプ | スプレー式 | スプレー式 | 
| 内容量 | 50ml | 150ml | 
| 単品価格(税込) | ¥13,800 | ¥9,800 | 
| 定期コース(税込) | ¥9,700 | ¥6,980 | 
| 定期コース回数縛り | なし | なし | 
| 返金保証 | 30日間 | 30日間 | 
プランテルとプランテルEXは成分が大きく違う
昔のプランテルと、新しいプランテルEXでは配合されてる成分が全く違う。同じブランドのリニューアルってことだけど、中身はもう全くの別ブランド。
有効成分は同じものも入っているけど、発毛促進成分のリデンシルが入ってるのはEXの方だけだし、脱毛を抑制する成分に関してはそれぞれ異なっている。
あとそれもあってか、旧プランテルは「M字ハゲ」対策推しだったけど、新しいプランテルEXでは、ハゲの部位には特段言及されてない。
まあM字以外にも効果があるからってことなんだろうけど、だったらなおさら「プランテル」って名乗らなくてもよかったんじゃない?と思うのは俺だけだろうか?
価格は圧倒的に旧プランテルの方が安い
商品価格に関しては、旧プランテルの方が圧倒的に安い。月あたり約¥3,000の差は大きいよね。この価格はチャップアップよりも¥1,000ほど安くなる。そこまでまだ薄毛が深刻じゃないし、とりあえず育毛剤を使ってみようかな・・・ってくらいの気持ちだったら、安いプランテルからスタートしてみてもいいかも知れない。
ただもう薄毛や抜け毛が気になって仕方がない、少しでも早く改善したいと思うなら、やっぱり高濃度リデンシルが入ったプランテルEXの方をおすすめするかな。
プランテルexの解約は簡単?定期縛りはないの?
準備中
正直に明かすプランテルEXのデメリット
準備中
プランテルEXに関するQ&A
準備中
